СРО
Лицензии и сертификаты
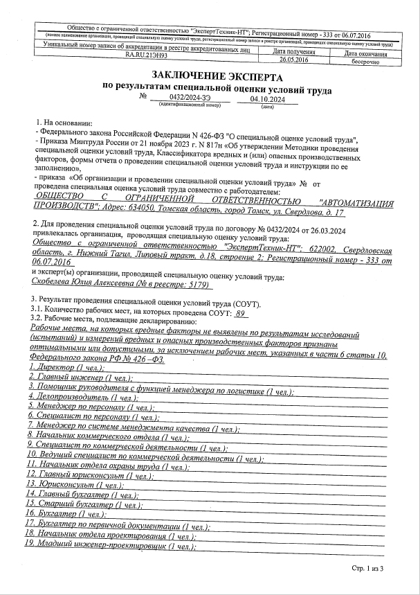
Лицензии
Лицензиями на оказание услуг мы подтверждаем законность осуществляемой деятельности и качество выполняемой работы.
Сертификаты
Сертификат соответствия — документ, подтверждающий соответствие продукции требованиям качества и безопасности, установленными для нее действующими стандартами и правилами.
Хочу стать клиентом
